Ejercicios de integrales definidas
Ejercicio 1
Calcular el área debajo de la curva correspondiente a la función y = x
2 entre los puntos -3 y 3.
Solución
Sabemos que la función y = x
2 no tiene partes por debajo del eje “x”, por lo que podemos calcular la integral en un solo tramo.
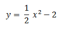
Ejercicio 2
Calcular el área debajo de la curva correspondiente a la siguiente función entre los puntos -4 y 4.
Solución
Calculamos las raíces para saber si la curva corta al eje “x” y para ubicar el tramo para el que queremos calcular el área.

Identificamos los tramos. En el caso que nos sea útil podemos calcular el vértice de la parábola.

Calculamos primero la integral indefinida.

Planteamos la regla de Barrow para calcular la integral definida.

Debemos tener en cuenta que si hubiéramos calculado la integral definida entre -4 y 4 directamente (y no por tramos) el resultado habría sido 16/3 ya que dos áreas tienen signo positivo y un área tiene signo negativo.
Ejercicio 3
Calcular la superficie entre las siguientes dos curvas.
Solución
Hacemos un gráfico para comprender mejor el problema planteado.

Calculamos los puntos de intersección en “x”. Para eso igualamos las dos ecuaciones y despejamos “x”.

Aplicamos la fórmula de la ecuación cuadrática.

Ahora calculamos por separado el área debajo de cada una de las dos curvas para ese intervalo. Cómo el intervalo para cada una de las dos curvas no está por debajo del eje “x” lo podemos hacer en un solo tramo.
Para hallar el área debajo de cada curva calculamos su integral indefinida y aplicamos la regla de Barrow para calcular la integral definida.

Sabemos que la superficie entre las dos curvas es igual a la superficie debajo de la recta menos la superficie debajo de la parábola.
Seguir a apéndice de química
Volver a ejercicios de integrales
Volver a home